添加收藏
设为首页
欢迎光临 [云翼收藏网]
行情
天津
福丽特
青西
市场
拍卖
藏品
知识
邮票
中外邮票
邮票价格
邮票收藏
钱币
钱币收藏
人民币
钱币报价
收藏
书画
油雕
瓷器
玉石
网站首页
开户
交易所行情
邮票
钱币
卡
收藏品
收藏市场
交易软件下载
您现在的位置:
云翼收藏网
>>
交易所行情
>>
中南邮交所
>>
新闻
>>
市场报价
>> 中南邮票交易中心挂牌藏品2015年8月19日市场采集表
首页
您现在的位置:
云翼收藏网
>>
交易所行情
>>
中南邮交所
>>
新闻
>>
市场报价
>> 中南邮票交易中心挂牌藏品2015年8月19日市场采集表
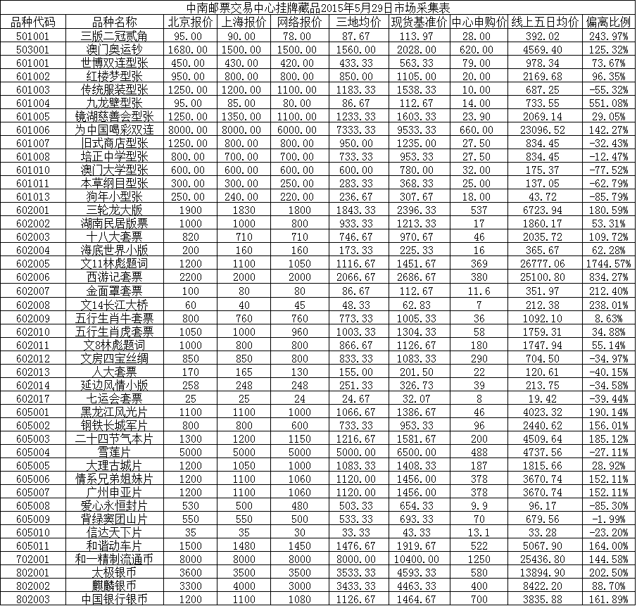
中南邮票交易中心挂牌藏品2015年8月19日市场采集表
作者:佚名    市场报价编辑:admin  
上一篇行情:
中南邮票交易中心挂牌藏品2015年8月18日市场采集表
下一篇行情:
中南邮票交易中心挂牌…
中南邮票交易中心挂牌…
中南邮票交易中心挂牌…
中南邮票交易中心挂牌…
更多+
市场报价
中南邮票交易中心挂牌藏品2015年2月11日市场…
中南邮票交易中心挂牌藏品2016年5月24日市场…
中南邮票交易中心挂牌藏品2016年3月7日市场…
中南邮票交易中心挂牌藏品2015年3月20日市场…
中南邮票交易中心挂牌藏品2015年5月22日市场…
中南邮票交易中心挂牌藏品2015年4月2日市场…
中南邮票交易中心挂牌藏品2015年10月19日市…
更多+
交易所行情
2002孝邮票小型张等邮币申购公告
0822 南方文交所盘面综述:受制外围市场,…
2015.05.09凤凰综述:是谁给了你如此强大的信…
2014年11月29日市场价格采集表
关于202012《黄龙小型张》藏品风险提示的通…
关于明确官方宣传渠道的公告
第16届冬奥会金银纪念币1/3盎司圆形金质纪念…
栏目导航
行业新闻
市场报价
中南研究
名家专栏
中南俱乐部
凤凰综述
泉藏综述
鼎瀚综述
邮缘综述
喜日子综述
市场点评
相关文章
《高逸图》邮票正式发行 刘伶登上…
观享邮票设计艺术之美(图)
邮票有哪些种类
中国国力日渐增强 武器装备出现在…
邮票收藏与鉴赏:《气象成就》纪…
唐山世园会纪念邮票4月29日全国首…
许昌将开放以三国文化为主题的邮…
韩国发行宗教人士纪念邮票 每张2…
梅兰芳邮票的故事
西溪登《美丽中国》邮票 邮票上首…
中国邮票上的二十四节气(图)
教你辨别二胶邮票最实用的六个方…
邮迷排长队六张邮票迎立夏
中国邮政发行《中国古镇(二)》特…
世界上第一位女宇航员邮票(图)
关于我们
|
交易所开户入口
|
客户端下载
|
加入收藏
Copyright © 2016-2021 云翼收藏网(www.32196.com) All Rights Reserved