添加收藏
设为首页
欢迎光临 [云翼收藏网]
行情
天津
福丽特
青西
市场
拍卖
藏品
知识
邮票
中外邮票
邮票价格
邮票收藏
钱币
钱币收藏
人民币
钱币报价
收藏
书画
油雕
瓷器
玉石
网站首页
开户
交易所行情
邮票
钱币
卡
收藏品
收藏市场
交易软件下载
您现在的位置:
云翼收藏网
>>
交易所行情
>>
中南邮交所
>>
公告
>>
现货参考价
>> 中南邮票交易中心挂牌藏品2015年6月1日市场采集表
首页
您现在的位置:
云翼收藏网
>>
交易所行情
>>
中南邮交所
>>
公告
>>
现货参考价
>> 中南邮票交易中心挂牌藏品2015年6月1日市场采集表
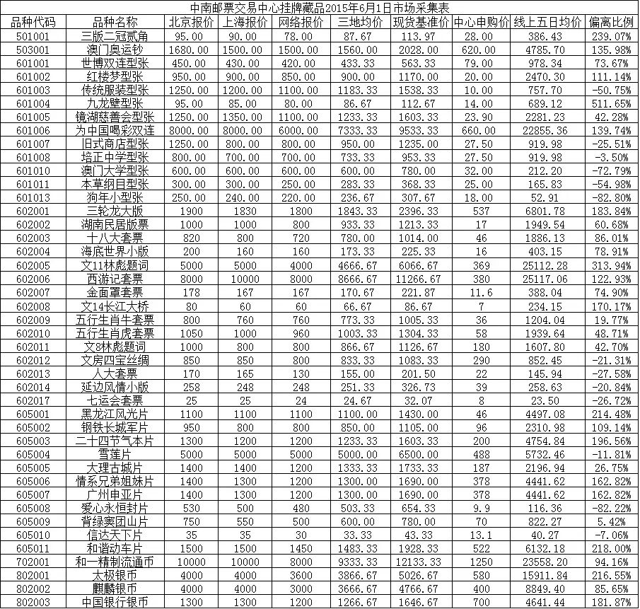
中南邮票交易中心挂牌藏品2015年6月1日市场采集表
作者:佚名    现货参考价编辑:admin  
中南邮票交易中心挂牌藏品2015年6月1日
市场采集表
微信公众号:
官方微博:
手机开户扫一扫:
官 网:www.znypjy.com
财富热线:400-859-3788
上一篇行情:
中南邮票交易中心挂牌藏品2015年5月30日市场采集表
下一篇行情:
中南邮票交易中心挂牌…
中南邮票交易中心挂牌…
中南邮票交易中心挂牌…
中南邮票交易中心挂牌…
更多+
现货参考价
中南邮票交易中心挂牌藏品2016年5月16日市场…
中南邮票交易中心挂牌藏品2015年4月25日市场…
中南邮票交易中心挂牌藏品2015年3月18日市场…
中南邮票交易中心挂牌藏品2015年11月11日市…
中南邮票交易中心挂牌藏品2016年5月14日市场…
中南邮票交易中心挂牌藏品2015年9月2日市场…
中南邮票交易中心挂牌藏品2016年5月5日市场…
更多+
交易所行情
12月30日南方文交所上市藏品排行+每日点评
关于发布第二套人民币指数等指数的通知 粤…
102016 《朱德纪念币》
经济特区—海南
厉以宁:GDP增速如果能长期保持5%也不错
关于103004《三版一角》入库申请中签名单公…
0701 南方文交所盘面综述:品种轮番异动、南…
栏目导航
通知公告
交易数据
申购公告
托管公告
现货参考价
中心动态
相关文章
《高逸图》邮票正式发行 刘伶登上…
观享邮票设计艺术之美(图)
邮票有哪些种类
中国国力日渐增强 武器装备出现在…
邮票收藏与鉴赏:《气象成就》纪…
唐山世园会纪念邮票4月29日全国首…
许昌将开放以三国文化为主题的邮…
韩国发行宗教人士纪念邮票 每张2…
梅兰芳邮票的故事
西溪登《美丽中国》邮票 邮票上首…
中国邮票上的二十四节气(图)
教你辨别二胶邮票最实用的六个方…
邮迷排长队六张邮票迎立夏
中国邮政发行《中国古镇(二)》特…
世界上第一位女宇航员邮票(图)
关于我们
|
交易所开户入口
|
客户端下载
|
加入收藏
Copyright © 2016-2021 云翼收藏网(www.32196.com) All Rights Reserved